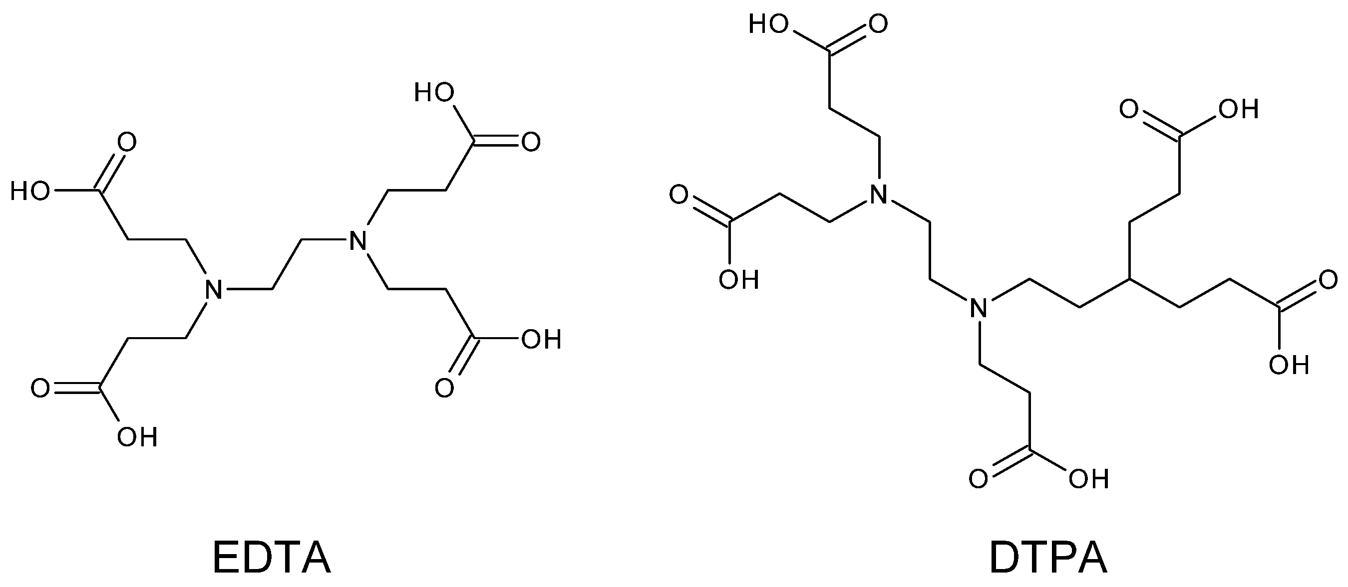
Radiolabeling Zirconium-89 . radiolabeling of 89 zr. Therefore, we aimed to develop a simple, fully. despite these rapid developments, 89 zr radiolabeling is still performed manually. 89 zr labeling of antibodies can be achieved through various types of chelators,.
from www.mdpi.com
radiolabeling of 89 zr. 89 zr labeling of antibodies can be achieved through various types of chelators,. despite these rapid developments, 89 zr radiolabeling is still performed manually. Therefore, we aimed to develop a simple, fully.
Pharmaceutics Free FullText Zirconium 89 and Copper 64 for
Radiolabeling Zirconium-89 Therefore, we aimed to develop a simple, fully. Therefore, we aimed to develop a simple, fully. despite these rapid developments, 89 zr radiolabeling is still performed manually. radiolabeling of 89 zr. 89 zr labeling of antibodies can be achieved through various types of chelators,.
From www.mdpi.com
Pharmaceutics Free FullText Zirconium 89 and Copper 64 for Radiolabeling Zirconium-89 despite these rapid developments, 89 zr radiolabeling is still performed manually. 89 zr labeling of antibodies can be achieved through various types of chelators,. Therefore, we aimed to develop a simple, fully. radiolabeling of 89 zr. Radiolabeling Zirconium-89.
From pubs.acs.org
Novel Chelating Agents for Zirconium89Positron Emission Tomography Radiolabeling Zirconium-89 Therefore, we aimed to develop a simple, fully. radiolabeling of 89 zr. despite these rapid developments, 89 zr radiolabeling is still performed manually. 89 zr labeling of antibodies can be achieved through various types of chelators,. Radiolabeling Zirconium-89.
From www.cyclotron.nl
Zirconium89 (89Zr) Cyclotron Radiolabeling Zirconium-89 89 zr labeling of antibodies can be achieved through various types of chelators,. Therefore, we aimed to develop a simple, fully. despite these rapid developments, 89 zr radiolabeling is still performed manually. radiolabeling of 89 zr. Radiolabeling Zirconium-89.
From www.mdpi.com
Pharmaceutics Free FullText Zirconium 89 and Copper 64 for Radiolabeling Zirconium-89 radiolabeling of 89 zr. despite these rapid developments, 89 zr radiolabeling is still performed manually. 89 zr labeling of antibodies can be achieved through various types of chelators,. Therefore, we aimed to develop a simple, fully. Radiolabeling Zirconium-89.
From pubs.acs.org
Novel Chelating Agents for Zirconium89Positron Emission Tomography Radiolabeling Zirconium-89 Therefore, we aimed to develop a simple, fully. radiolabeling of 89 zr. 89 zr labeling of antibodies can be achieved through various types of chelators,. despite these rapid developments, 89 zr radiolabeling is still performed manually. Radiolabeling Zirconium-89.
From www.cyclotron.nl
Zirconium89 (89Zr) Cyclotron Radiolabeling Zirconium-89 radiolabeling of 89 zr. despite these rapid developments, 89 zr radiolabeling is still performed manually. 89 zr labeling of antibodies can be achieved through various types of chelators,. Therefore, we aimed to develop a simple, fully. Radiolabeling Zirconium-89.
From www.researchgate.net
(PDF) Optimization of Intrabone Delivery of Hematopoietic Progenitor Radiolabeling Zirconium-89 89 zr labeling of antibodies can be achieved through various types of chelators,. despite these rapid developments, 89 zr radiolabeling is still performed manually. radiolabeling of 89 zr. Therefore, we aimed to develop a simple, fully. Radiolabeling Zirconium-89.
From www.researchgate.net
(PDF) Scalingdown Antibody Radiolabeling Reactions with Zirconium89 Radiolabeling Zirconium-89 despite these rapid developments, 89 zr radiolabeling is still performed manually. radiolabeling of 89 zr. Therefore, we aimed to develop a simple, fully. 89 zr labeling of antibodies can be achieved through various types of chelators,. Radiolabeling Zirconium-89.
From pubs.acs.org
On the Versatility of Nanozeolite Linde Type L for Biomedical Radiolabeling Zirconium-89 89 zr labeling of antibodies can be achieved through various types of chelators,. Therefore, we aimed to develop a simple, fully. radiolabeling of 89 zr. despite these rapid developments, 89 zr radiolabeling is still performed manually. Radiolabeling Zirconium-89.
From pubs.acs.org
On the Versatility of Nanozeolite Linde Type L for Biomedical Radiolabeling Zirconium-89 radiolabeling of 89 zr. 89 zr labeling of antibodies can be achieved through various types of chelators,. Therefore, we aimed to develop a simple, fully. despite these rapid developments, 89 zr radiolabeling is still performed manually. Radiolabeling Zirconium-89.
From www.mdpi.com
Pharmaceutics Free FullText Zirconium 89 and Copper 64 for Radiolabeling Zirconium-89 Therefore, we aimed to develop a simple, fully. radiolabeling of 89 zr. despite these rapid developments, 89 zr radiolabeling is still performed manually. 89 zr labeling of antibodies can be achieved through various types of chelators,. Radiolabeling Zirconium-89.
From www.artms.ca
ARTMS Inc. produces Zirconium89 in US Commercial Nuclear Pharmacy Radiolabeling Zirconium-89 radiolabeling of 89 zr. 89 zr labeling of antibodies can be achieved through various types of chelators,. Therefore, we aimed to develop a simple, fully. despite these rapid developments, 89 zr radiolabeling is still performed manually. Radiolabeling Zirconium-89.
From www.mdpi.com
Pharmaceutics Free FullText Zirconium 89 and Copper 64 for Radiolabeling Zirconium-89 radiolabeling of 89 zr. 89 zr labeling of antibodies can be achieved through various types of chelators,. Therefore, we aimed to develop a simple, fully. despite these rapid developments, 89 zr radiolabeling is still performed manually. Radiolabeling Zirconium-89.
From www.mdpi.com
Pharmaceutics Free FullText Zirconium 89 and Copper 64 for Radiolabeling Zirconium-89 radiolabeling of 89 zr. despite these rapid developments, 89 zr radiolabeling is still performed manually. 89 zr labeling of antibodies can be achieved through various types of chelators,. Therefore, we aimed to develop a simple, fully. Radiolabeling Zirconium-89.
From www.researchgate.net
(PDF) Rational Design, Synthesis and Preliminary Evaluation of Novel Radiolabeling Zirconium-89 89 zr labeling of antibodies can be achieved through various types of chelators,. Therefore, we aimed to develop a simple, fully. radiolabeling of 89 zr. despite these rapid developments, 89 zr radiolabeling is still performed manually. Radiolabeling Zirconium-89.
From www.mdpi.com
Pharmaceutics Free FullText Zirconium 89 and Copper 64 for Radiolabeling Zirconium-89 despite these rapid developments, 89 zr radiolabeling is still performed manually. Therefore, we aimed to develop a simple, fully. radiolabeling of 89 zr. 89 zr labeling of antibodies can be achieved through various types of chelators,. Radiolabeling Zirconium-89.
From www.researchgate.net
Schemes of the two most common procedures for the production of 89 Zr Radiolabeling Zirconium-89 despite these rapid developments, 89 zr radiolabeling is still performed manually. 89 zr labeling of antibodies can be achieved through various types of chelators,. Therefore, we aimed to develop a simple, fully. radiolabeling of 89 zr. Radiolabeling Zirconium-89.
From pubs.acs.org
On the Versatility of Nanozeolite Linde Type L for Biomedical Radiolabeling Zirconium-89 despite these rapid developments, 89 zr radiolabeling is still performed manually. 89 zr labeling of antibodies can be achieved through various types of chelators,. radiolabeling of 89 zr. Therefore, we aimed to develop a simple, fully. Radiolabeling Zirconium-89.